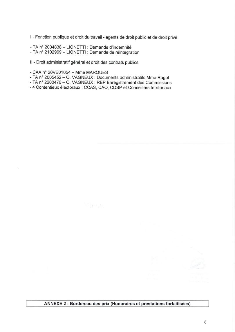
— LE SAVINIEN TAQUIN —

Le libre journal d’Olivier VAGNEUX – 06.51.82.18.70 – olivier@vagneux.fr

Je déteste le sport, à l’exception des sports de chambre : chambre criminelle, chambre administrative, chambre correctionnelle, chambre de l’instruction… Et bien sûr, chambre à coucher !!! ¯\_(ツ)_/¯


Dans la catégorie « Documents bêtement supprimés du site internet de la Commune de Savigny-sur-Orge » : la convention d’honoraires avec SEBAN & Associés

Monsieur Armand ! Monsieur Armand !

Vous avez malencontreusement effacé du site internet de la Commune l’annexe de la convention d’honoraires avec SEBAN & Associés !

Sûrement une fausse manipulation ou alors un geste parfaitement involontaire ?

Mais si, vous savez bien, celle qui établit une prise illégale d’intérêts et un détournement de bien public commis par Alexis TEILLET !!!

Celle dont j’ai justement besoin pour ma plainte contre ledit Alexis TEILLET ; plainte que je dépose cette semaine, et dont je publierai le texte rapidement après sur ce même site !

D’ailleurs, c’est bizarre, car elle a disparu juste après que j’ai annoncé que je comptais déposer plainte !?!

Heureusement donc que j’étais là, et que je l’avais téléchargée ! On n’est jamais trop prudent.

Je vous la pose là, et puis, je l’ai aussi publiée sur Calameo, juste au cas où…

Hé, Armand et compagnie, je vous vois !






Une réponse à « Dans la catégorie « Documents bêtement supprimés du site internet de la Commune de Savigny-sur-Orge » : la convention d’honoraires avec SEBAN & Associés »

  1. Avatar de Jean-Marie CORBIN
    Jean-Marie CORBIN

    Une convention signée le 1/4/2022 avec prise d’effet le 1/3/2022, ça commence mal ! Autrement, moi je serais eux, je me réfugierais pas de trop sur les effacements accidentels, non seulement, il y a Olivier Vagneux et sa maladie compulsive à tout garder, mais il y a aussi les sites d’archivage web dont certains situés à l’étranger et sur lesquels ils ont peu de chance d’avoir le bras assez long pour en obtenir l’effacement.

Laisser un commentaire

Ce site utilise Akismet pour réduire les indésirables. En savoir plus sur la façon dont les données de vos commentaires sont traitées.