Des gueux ont osé remettre en doute le fait que je sois devenu Seigneur-Lord de Sealand, les vilains manants, juste parce que j’ai publié mon article d’annonce le 1er avril.
Et pourtant, mes bons amis, tout cela est rigoureusement VRAI !
La page internet officielle de la principauté : https://sealandgov.org/fr/
La page Wikipedia de Sealand : https://fr.wikipedia.org/wiki/Principaut%C3%A9_de_Sealand
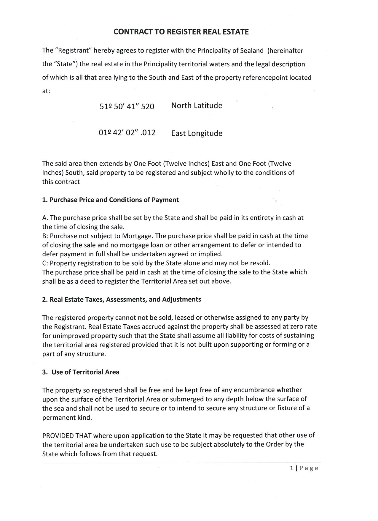
Et j’ai reçu, maintenant que je suis Lord, ma parcelle de territoire de la principauté !
Dont la propriété est limitée à 10 ans.
Allez, ne soyez pas tristes, les rageux, quand vous serez bon comme je le suis, vos clients, auront peut-être aussi envie de vous faire des cadeaux ?
Et puis sans cela, vous pouvez aussi vous l’acheter vous-même !
Sur ce, partons nous renseigner de savoir si le droit de cuisage existe encore au Sealand, avant d’aller courir la gueuse nous pour trouver une Lady !





Laisser un commentaire