Moi questionnant Alexis TEILLET sur son budget primitif 2026.
Son service finances connaît tellement bien le document budgetaire qu’ils m’écrivent qu’on ne vote aucune nouvelle provision, alors qu’on en vote… ¯\_(ツ)_/¯ Ils me désinforment carrément !
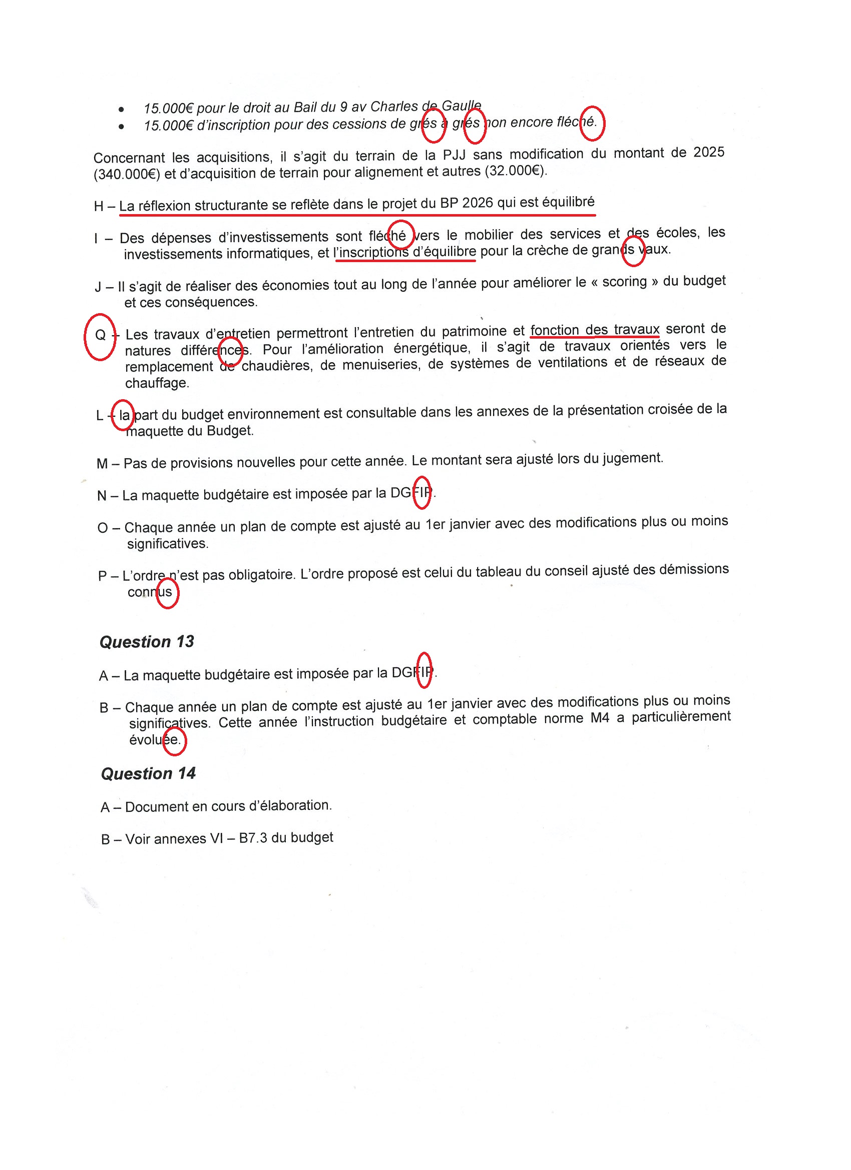
Et ils écrivent aussi « Grands Vaux » tellement ils connaissent bien Savigny en général…
Ou « de grés à grés » tellement ils connaissent l’orthographe.
Ou carrément nimp tellement le rédacteur, qui connaît même pas son alphabet, en avait vraiment plus rien à foutre, et devait vraiment vouloir aller faire caca : « H – I – J – Q – L » « des cessions de grés à grés non encore fléché », « des dépenses d’investissements sont fléché », « l’inscriptions d’équilibre pour la crèche de grands vaux », « fonction des travaux seront de nature différences », « La réflexion structurante (je demandais quelle était-elle) se reflète dans le projet du BP 2026 qui est équilibré – bah oui, c’est la Loi…», « démissions connus »…
Et comme les autres fois, quand je pose une question trop précise : bah, c’est dans les 300 pages du dossier, CONNARD, mais surtout je te dis pas laquelle, (parce qu’en fait, cela n’y est pas)… Du coup, c’est le juge administratif qui cherchera !
La base d’un budget, c’est la sincérité.
La jurisprudence financière de la Chambre régionale des comptes, qui s’impose au juge administratif, retient que la sincérité des cessions immobilières s’établit au regard de « tout document permettant d’établir que la vente se caractérise par de fortes probabilités de réalisation au cours de l’exercice » (voir par exemple l’avis no 2021/0002 du 22 juin 2001 de la CRC de Corse).

TEILLET était insincère en 2025 quand il inscrivait des recettes issues de vente de terrains, dont il connaissait pourtant qu’ils ne les céderaient pas – tout comme les emprunts qu’il inscrivait en sachant qu’il ne les réaliserait pas ; ce qu’il a admis lors de la dernière séance.
Cet aveu est tellement bon pour mon recours contre le budget primitif 2025 (No TA de Versailles 2511948).
TEILLET est insincère en 2026 quand il inscrit 200 000 euros pour un terrain que les Domaines ont estimé 627 000 euros !!!
ALORS QUE LA DÉLIBÉRATION N’EST PAS VOTÉE, ET QUE JE FERAI DE TOUTE FAÇON UN RECOURS QUI SUSPENDRA LA VENTE SI RÉELLEMENT, IL BRADE LE BIEN À 32 % DE SA VALEUR.
Hâte de voir le comportement de sa majorité au conseil !
Soit ils votent un budget insincère, d’une cession largement sous-évaluée, et dont il est avoué qu’elle ne se réalisera pas ; à plus forte raison, qu’elle n’est pas approuvée.
Soit ils acceptent de brader un bien à 32 % de sa valeur, juste pour équilibrer leur petit budget de merde ; alors qu’il serait tellement plus simple de prévoir 427 000 euros de dépenses d’investissement supplémentaires ; parce qu’à Savigny, c’est connu, il n’y a pas besoin d’investir !!!






Laisser un commentaire