Quand je serai maire, ce document sera publié avec les documents utiles sur le site internet municipal.
En attendant, vous le trouvez sur mon site internet.
Mais il n’est pas trop tard pour bien faire à la Mairie ; je ne suis pas jaloux.
Je l’avais déjà publié sur Issuu en 2016,
mais mon compte a été supprimé pendant l’été…
Ça va que j’archive tout.
Nous entrons ce jour, 20 octobre 2025, à retenir dans vos calendriers, (un jour exceptionnel ?) dans la deuxième phase de la grandiose et mirifique réforme de la circulation et du stationnement de la fabuleuse et formidable majorité municipale fabuleusement et merveilleusement dirigée par le génial Sieur TEILLET ;
celle qui permet au maire, de mettre sa rue à sens unique, sans donner l’impression de n’œuvrer que pour sa gueule !
ce qui n’est vraiment pas très malin parce que cela l’oblige désormais (ou peut-être sinon qu’en phase 3 ?) à faire un long détour pour pouvoir revenir de la mairie… ¯\_(ツ)_/¯ Cheh ! Tu réfléchiras un peu la prochaine fois !
Je passais cette nuit pour rafraîchir mes collages par la rue Boileau et la rue de Paris.
Les riverains ne respectent pas le marquage au sol.
Faut dire que cela supprime quand même de nombreuses places…
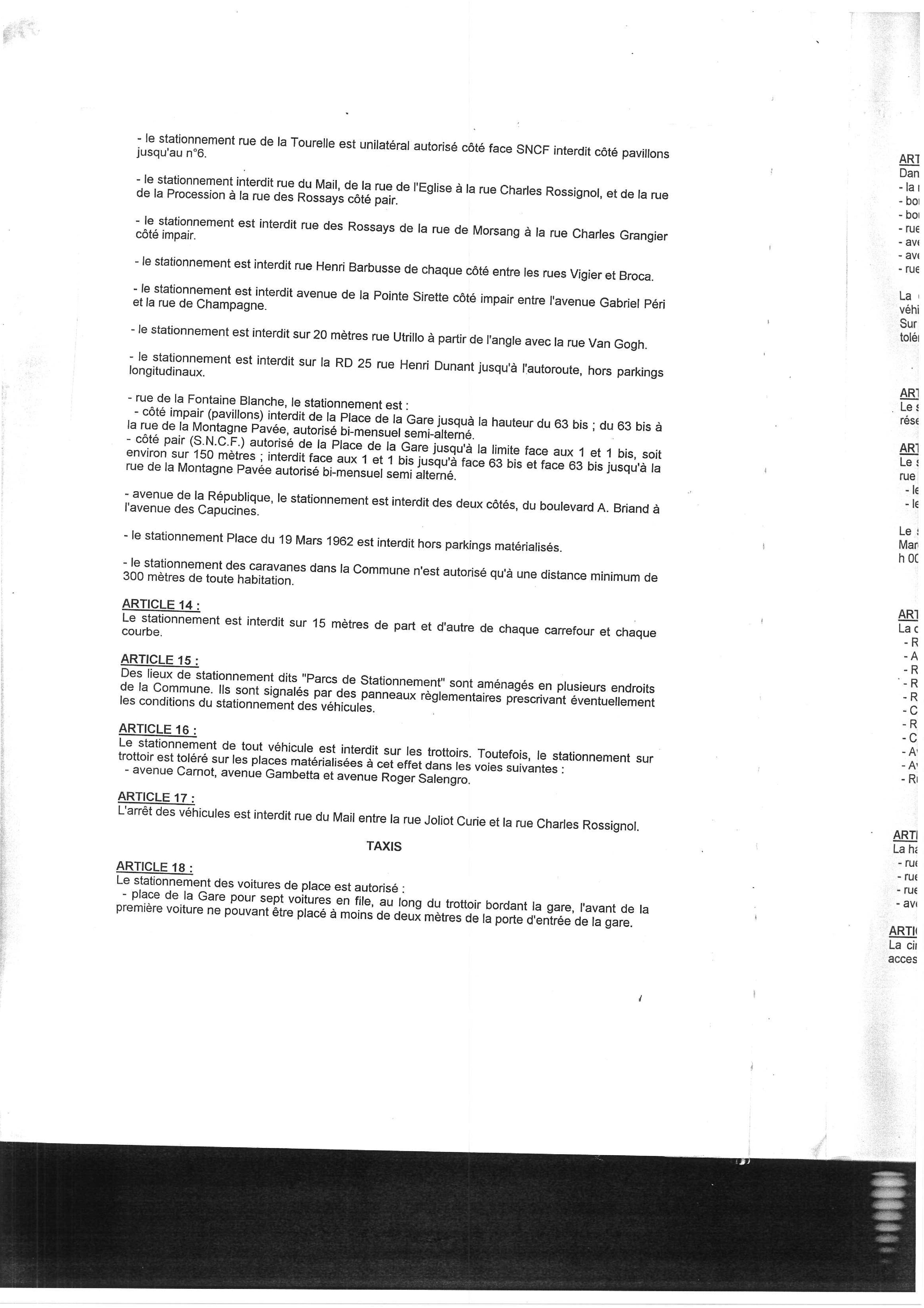
Bon, à part cela, ce règlement est très intéressant pour éclairer l’incompétence et le jeanfoutisme d’Alexis, d’André MULLER, son adjoint à la sécurité et de François HEEDER, le directeur des services techniques.
Quand tu les écoutes un peu, ils ne connaissent ni les heures de changement de côté, ni la durée du stationnement en zone bleue, ni l’interdiction de se garer à moins de 15 mètres d’une intersection.
Et alors, en comités de quartier, ils te sortent qu’ils vont mettre de la ligne jaune sur 5 mètres, pour rappeler aux gens qu’ils n’ont pas le droit de se garer dans cette bande.
Mais si tu connaissais ton règlement ; et il n’y a visiblement que moi qui le connais, c’est sur 15 mètres qu’il faudrait le faire.
Est-ce que vous imaginez le gros dawa que ce serait ?
N’oubliez enfin pas,
qu’Alexis TEILLET, qui va vous dire que tout ce que j’écris est faux,
mais qui est actuellement en procès avec moi car il ne veut pas publier les documents présentés aux ateliers ; on se demande bien pourquoi…
envisage quand même de passer la Ville en zone 30 et de réduire le stationnement d’entre 11 et 42 %, en plus de mettre le passage d’une vingtaine d’axes en sens unique.
Votez pour Alexis en mars 2026, c’est transformer Savigny en Paray-Vieille-Poste, en encore moins bien !

















Laisser un commentaire