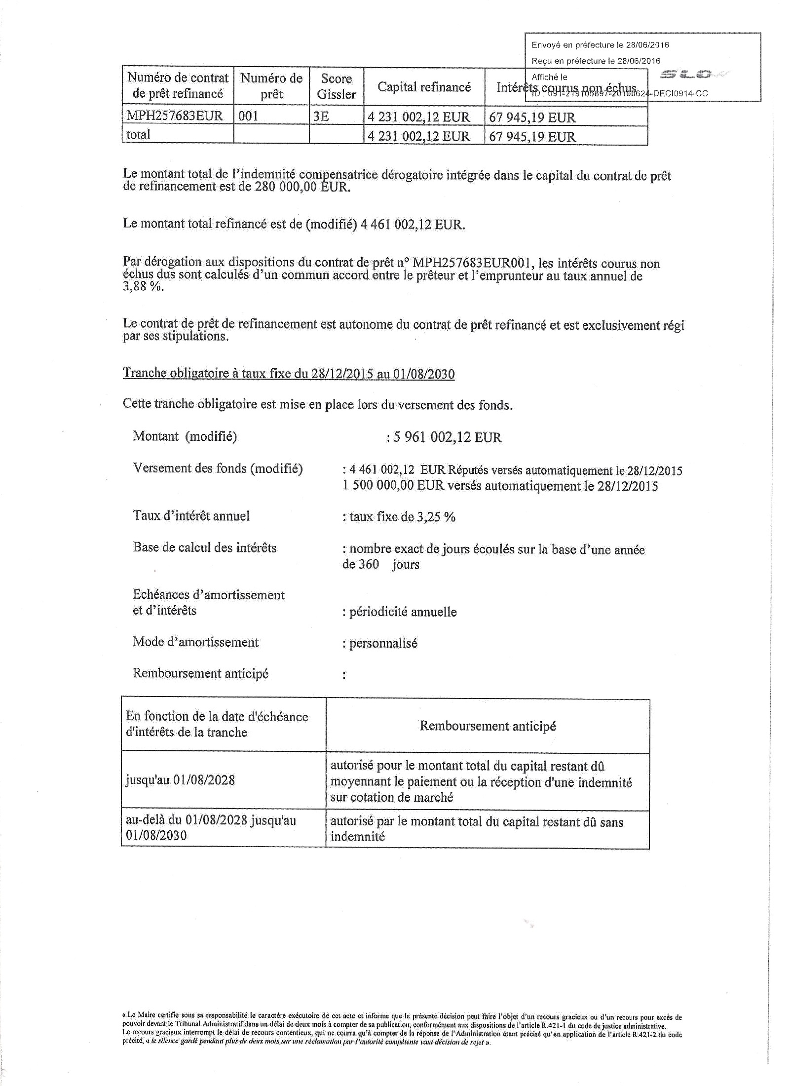
Je ne sais pas vous, mais dans le privé, se tromper de 50 000 € au moment de rédiger un contrat un prêt, je n’appelle pas cela une « erreur matérielle« . Alors, même si le montant modifié est bien celui inscrit dans le budget primitif 2016 et le compte administratif 2015, nous devons nous demander ce que sont ces 50 000 € perdus entre le 11 décembre 2015 (signature de la décision) et le 16 décembre 2015 (signature du contrat).
Quand je commets une erreur matérielle, j’oublie un chiffre, ou j’en inverse deux parce que j’ai écrit trop vite. Mais je ne fais pas une soustraction pour passer de 6.011.002,12 € à 5.961.002,12 €. Donc à mon avis, l’hypothèse la plus probable est qu’il ne connaissait pas la valeur réelle de la somme à refinancer du précédent emprunt toxique (rassurant !). Puis s’étant rendu compte de leur erreur, ils sont allés s’arranger pour ne pas emprunter 50.000 € de plus inutilement.
Comme vous le savez, Savigny avait trois gros emprunts toxiques représentant plus de 16,5 millions €, contractés sous MARSAUDON à l’unanimité de la majorité d’alors (SPICHER et MEHLHORN compris). Tandis qu’en 2015, la municipalité de M. MEHLHORN se décidait enfin à demander l’aide de l’État pour les rembourser avec des dispositifs mis en place dès 2008 ; de manière parfaitement contradictoire, elle se mettait alors à emprunter pour les casser.
Car quel est l’intérêt de la banque Dexia, refinancée avec nos impôts, et renommée Caisse française de financement local pour changer son image ? Certes s’asseoir sur les intérêts exponentiels des emprunts toxiques qui auraient été mal acquis donc ne lui auraient pas profité (enfin, c’est ce que dit l’expression), mais surtout se rattraper en fournissant un nouveau contrat de prêt de 1,5 million € à 3,25 %, dont Savigny n’avait pas vraiment besoin. Quoique…
La ville a besoin d’argent pour investir : pour moderniser ses équipements, ou créer des sources de nouvelles richesses. Sauf qu’avec cette municipalité, qui a dissimulé cet emprunt complémentaire, (un bon prétexte pour augmenter les impôts), la somme sera gaspillée car ce sont de piètres gestionnaires. Surtout ne voyons pas non plus qu’elle ne désendette pas autant que ce qu’elle dit : elle rembourse 2,9 M mais elle emprunte 1,5 M à 3,25 %…
Donc il n’aura fallu que six mois à la municipalité (du 16 décembre 2015 au 24 juin 2016) pour se rendre compte que la décision financière la plus importante de l’année était erronée, et de manière à remettre en cause la validité et la légalité de ce contrat de prêt. Il faut bien écrire que le service Finances a quelques difficultés à fonctionner, depuis que la directrice financière de la ville a été écartée au profit de l’ancien responsable des services informatiques…
Les décisions n°723 et n°914 mentionnées dans l’article








Laisser un commentaire